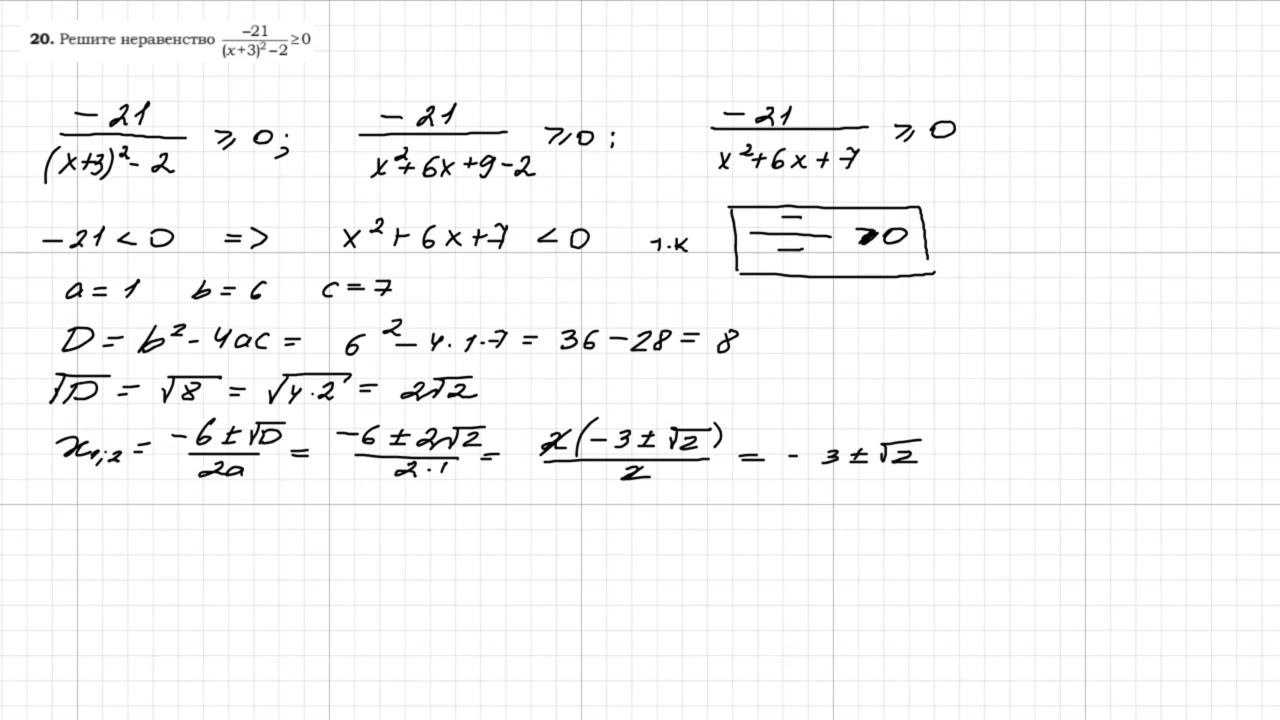
вариант 14, задание 20, огэ 2024
Решение всего варианта можно посмотреть здесь: https://school.mathlove.ru/wpm/lesson-compact-card-variant-14/variant-14/
Решение всего варианта можно посмотреть здесь: https://school.mathlove.ru/wpm/lesson-compact-card-variant-14/variant-14/
