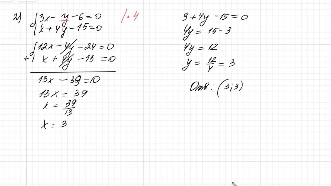
4 задание: системы уравнений аналитически. Переводной экзамен, 8 класс.

Иконка канала Mathlove_ru
9 подписчиков
12+
11 просмотров
2 года назад
12+
11 просмотров
2 года назад

, чтобы оставлять комментарии