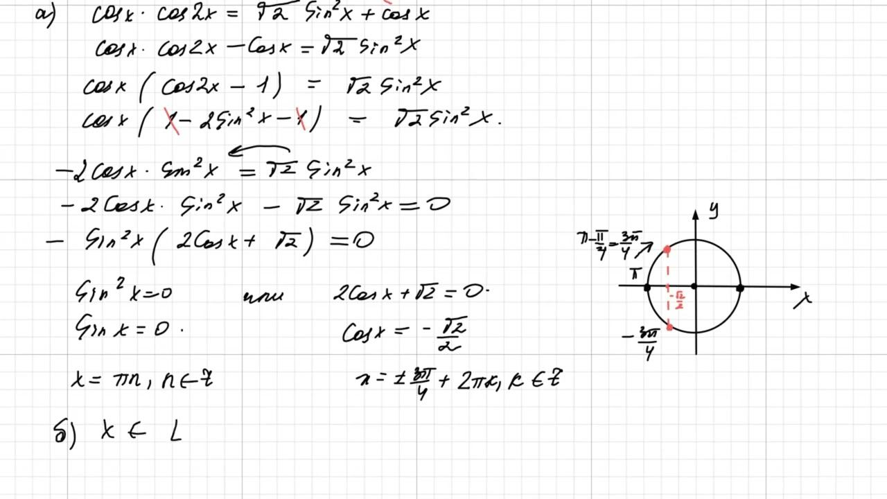
Задание 13, вариант 17, егэ профиль 2024

Иконка канала Mathlove_ru
9 подписчиков
12+
1 просмотр
2 года назад
12+
1 просмотр
2 года назад

, чтобы оставлять комментарии